Page suivante   Page précédente   Table des matières

V.1. Ellipsomètre à annulation

(Nulling Ellipsometer)

Il s'agit de donner des principes de description analytique des ellipsomètres. L'ellipsométrie à méthode de zéro est prise en exemple et illustre la notion de modèle analytique complet des systèmes optiques introduite au chapitre des équations instrumentales.
La page de D. J. De Smet (http://www.onramp.tuscaloosa.al.us/~ddesmet/bk/closlook.html) sur les ellipsomètres à annulation donne un point de vue optique global qui intègre la physique de l'interaction lumière-matière sur les échantillons au principe de mesure ; la présente page cache le comportement de l'échantillon mesuré dans le rapport de ses réflectances complexes (caractérisé par Psi et Delta) et considère essentiellement l'instrument sous l'angle "traitement du signal" à la façon des électroniciens : les composants optiques transforment la polarisation lumineuse, comme les composants électroniques modifient les signaux électriques. Cette approche systématique permet de modéliser simplement n'importe quel type d'ellipsomètre.

Les ellipsomètres classiques utilisés pour la caractérisation de surfaces planes et spéculaires comprennent essentiellement 4 éléments qui agissent sur la polarisation lumineuse :

  1. Un polariseur d'entrée d'orientation P.
  2. La surface ou échantillon à caractériser E.
  3. Une lame biréfringente de déphasage b et d'orientation T.
  4. Un polariseur de sortie appelé analyseur d'orientation A.

L'ellipsomètre adapté à la caractérisation de couches minces est fondamentalement un réflectomètre qui mesure la modification de l'état de polarisation de formes de lumières réfléchies.
Le repère naturel pour la description des ondes lumineuses transversales réfléchies sont les directions parallèle (p) et perpendiculaire ((s) : de l'allemand "senkrecht") au plan d'incidence.

La description la plus simple est le vecteur de Jones ; les ondes lumineuses monochromatiques sont représentées par un vecteur colonne des deux amplitudes transversales du champ électrique.
Supposons une onde lumineuse incidente polarisée à 45° du plan d'incidence réfléchie par une surface de réflectances complexes rp et rs :

si E0 est l'amplitude de l'onde incidente projetée sur chacune des directions parallèle (p) et perpendiculaire (s) ; le vecteur de Jones de la lumière émergente s'écrit :

Ce qui est normalement mesuré en ellipsométrie des couches minces, c'est le rapport rp/rs des réflectances complexes de la surface étudiée ; ce rapport rp/rs est usuellement représenté par les quantités angulaires Psi et Delta :

En fait, les ellipses de lumière sont également caractérisées par l'angle "alpha" de leur grand axe et l'aplatissement "lambda" du petit axe relativement au grand :

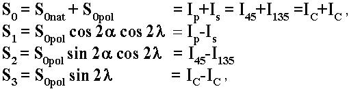
De fait, seules les intensités lumineuses sont directement mesurables, de sorte qu'il est préférable de rapporter les mesures d'états de polarisation à des mesures d'intensités lumineuses ; outre les matrices de cohérences, les paramètres de Stokes conviennent parfaitement pour représenter les états de polarisation en énergies lumineuses :

Où :

De fait, S0 est la somme des intensités de lumière naturelle (i.e. non polarisée) et polarisée. Les composantes S1, S2 et S3 caractérisent complètement la forme de la partie polarisée. Toute lumière polarisée peut donc être représentée par un point dans l'espace euclidien tridimensionnel associé aux trois derniers paramètres de Stokes S1, S2 et S3 : cet espace est l'espace de Poincaré, par extension de la représentation des seules formes sur une sphère par Poincaré :

L'axe S1 représente les composantes polarisées suivant (p) et (s).
L'axe S2 représente les composantes polarisées à 45° et 135° de la direction (p).
L'ensemble des lumières linéairement polarisées est disposé dans le plan équatorial S1S2.
L'axe S3 représente les lumières circulairement polarisées : le pôle C est la lumière cirulaire gauche et le pôle C' la lumière circulaire droite. Tous les points hors du plan équatorial représentent des lumières elliptiques gauches pour l'hémisphère nord et droites pour l'hémisphère sud.

L'intensité de la lumière photodétectée s'écrit :

L'élément biréfringent est quart d'onde (b=p/2), il est orienté à 45° du plan d'incidence (T=p/2), sa matrice s'écrit simplement :

La matrice de l'échantillon E s'écrit en matrice de Jones :

Les échantillons caractérisés par des matrices de réflexion non diagonales sont typiquement des échantillons qui rompent la symétrie de réflexion par exemple avec des tenseurs diélectriques dont les axes principaux ne sont pas alignés suivant le plan d'incidence : c'est le cas de certaines couches de Langmuir-Blodget.
Les éléments non diagonaux peuvent aussi provenir d'une dépolarisation par rugosité d'interface.

La matrice de Mueller de l'échantillon s'écrit :

En conséquence la lumière qui parvient à l'analyseur a pour expression :
S0 = rsrs*(tg2Y + 1)/2
S1 = rsrs*(tg2Y - 1)/2
S2 = rsrs* tgY sin(2P-D)
S3 = rsrs* tgY cos(2P-D)
La composante S3 de lumière circulaire pour que l'analyseur parvienne à éteindre la lumière :
S3 = rsrs* tgY cos(2P-D) = 0
Ce qui se produit en particulier pour cos(2P-D) = 0, soit :
P=D/2+/-p/4
alors sin(2P-D) est égal à +/-1 c'est à dire : S2 = +/-rsrs* tgY
L'intensité qui parvient au photo-détecteur s'écrit alors :
I = rsrs*(1-cos2Ycos2A+/-sin2Ysin2A)/(2cos2Y)
Cette intensité s'annule pour cos2(A-/+Y)=1, soit : A=-/+Y
On peut retenir que le polariseur P qui est du côté de la lame quart d'onde donne D tandis que l'analyseur A donne Y.

Considérons le montage symétrique avec la lame quart d'onde du côté de l'analyseur :

L'intensité photo-détectée s'écrit :

Dans ce cas c'est A qui donne D et P qui donne Y.
Le lecteur peut vérifier facilement dans ce cas ce qui a été avancé dans le chapitre "équations instrumentales" sur la symétrie duale des dispositifs ellipsométriques.

Bibliographie

Shurcliff, W. A., Polarized Light, (Harvard University Press, Cambridge, Mass., 1962 and 1966). C'est le livre qu'il faut avoir dans sa bibliothèque.

[Azzam & Bashara] Ellipsometry and Polarized Light, R.M.A. Azzam et N.M. Bashara, North Holland Publishing Company 1977.

Muller, R. H., ``Definitions and Conventions in Ellipsometry,'' Surface Science, 16, 14-33 (1969).

Les articles de Jones :

Wiener Norbert, "Coherency Matrices and Quantum Theory", Journal of Mathematics and Physics (M.I.T.), Vol. 7, pp. 109-125, 1927-1928.
Wolf, E., "Coherence Properties of Partially Polarized Electromagnetic Radiation", Il Nuovo Cimento, Vol. 13, pp. 1165-1181, 1959.

Mueller, H., "The foundations of optics", J. Opt. Soc. Amer. 38, 661, 1948.



Page suivante    Page précédente   Table des matières