Page suivante
Page précédente
Table
des matières
III. Mesures simples de la polarisation lumineuse
Après avoir présenté les éléments optiques
dans leur généralité ellipsométrique, il est
légitime de se demander comment faire au plus simple pour mesurer
un état de polarisation lumineuse.
Trois éléments suffisent pour mesurer une forme de lumière
: une lame biréfringente quart d'onde, un polariseur linéaire
et un photodétecteur.
Deux méthodes sont développées dans ce chapitre
: une méthode de compensation ou annulation de l'intensité
lumineuse attribuée à Sénarmont puis une méthode
photométrique qui s'appuie sur la définition même des
paramètres de Stokes.
L'avantage de la méthode par annulation est de s'affranchir
des non-linéarités de la chaîne de photodétection
en même temps que des fluctuations d'intensité de la lumière
incidente complètement polarisée.
L'avantage de la méthode photométrique est de déterminer
complètement les intensités polarisées et non polarisées
de la lumière incidente ; avec un jeu de 6 interfaces semi-réfléchissantes,
6 polariseurs, 2 lames quart d'onde et 7 photodétecteurs c'est potentiellement
le procédé le plus rapide à condition de bien gérer
l'acquisition simultanée de 7 photodétections dans le montage
optoélectronique.
III.1. Mesure de polarisation par annulation (Sénarmont).
La lame quart d'onde sert à la détermination de l'orientation
du grand axe et à la compensation de l'ellipticité, le polariseur
linéaire sert à la mesure de l'aplatissement de l'ellipse
:
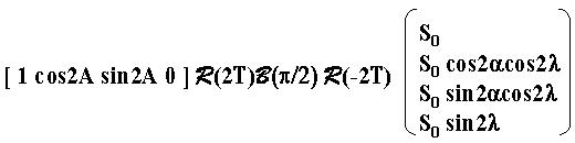
L'intensité photodétectée s'écrit :
Soit en développant la matrice de la lame quart d'onde d'orientation
T :
En exprimant la lumière qui arrive sur le polariseur d'orientation
A, il vient :
Le polariseur ne pourra éteindre qu'une lumière linéairement
polarisée, c'est à dire que le terme S3 de lumière
circulaire doit être nul, ce qui correspond à orienter les
lignes neutres de la lame quart d'onde suivant les axes principaux de l'ellipse
de lumière :
sin2(a-T)=0 soit T=a
ou T=a+p/2
Dans ces conditions, la lumière est linéairement polarisée
suivant la direction a-l ou a-l+p/2
; c'est à dire qu'à l'extinction le polariseur est orthogonal
à l'une de ces deux orientation soit :
A=a-l+p/2 ou A=a-l
La représentation de Poincaré illustre assez simplement
cette méthode de zéro :
La forme de lumière (a,l) est représentée
par le point M, la lame quart d'onde d'orientation T (2T dans l'espace
de Poincaré) amène le point M dans le plan équatorial
des lumières linéaires en M' après une rotation de
p/2.
III.2. Mesure des paramètres de Stokes.
Avec la lame quart d'onde, le polariseur et le photodétecteur, 7
mesures d'intensité sont nécessaires pour déterminer
les 4 paramètres de Stokes ; la lame quart d'onde sert à
la détermination du taux et du sens de la lumière circulaire
S3 ; plus exactement, les deux mesures effectuées avec
la lame quart d'onde servent à déterminer l'aplatissement
et le sens (gauche ou droit) de l'ellipticité de la lumière
tandis que les quatre mesures avec le seul polariseur contiennent les informations
d'orientation du grand axe de l'ellipse de lumière et également
d'aplatissement de l'ellipse (mais pas son sens) :
-
S0 est l'intensité totale, seul le photodétecteur
est nécessaire, cette mesure est redondante si la lumière
est complètement polarisée (S02=S12+S22+S32).
-
S1 est la différence d'intensité mesurée
par le photodétecteur placé derrière le polariseur
orienté en p puis en s.
-
S2 est la différence d'intensité mesurée
par le photodétecteur placé derrière le polariseur
orienté à 45° de p puis à 135° de p.
-
La lumière traverse la lame quart d'onde puis le polariseur qui
est aligné suivant p. S3 est la différence d'intensité
mesurée par le photodétecteur placé derrière
le polariseur aligné suivant s et l'axe rapide de la lame quart
d'onde orienté à 45° de p puis à 135° de p.
Ces 2 orientations de la lame quart d'onde permettent de mesurer l'intensité
de lumière circulaire gauche puis droite.
Page suivante Page
précédente Table
des matières