Page suivante   Page précédente   Table des matières

VII. Photoélasticité

Ce chapitre est consacré à la photoélasticité et à la photoélasticimétrie.
Quand un matériau isotrope est soumis à des contraintes mécaniques il devient normalement anisotrope. Dans le cas d'un matériau isotrope transparent, la vitesse de la lumière pour les ondes polarisées parallèlement à la contrainte ou perpendiculairement à cette même contrainte ne sont  plus les mêmes : le matériau est devenu biréfringent ; on parle de biréfringence accidentelle.
La photoélasticimétrie recouvre l'ensemble des techniques de caractérisation et de mesure de la photoélasticité ; c'est principalement une méthode d'analyse optique des contraintes et déformations subies par les solides.
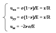
Considérons un matériau isotrope soumis aux contraintes principales  et  :

Si n0 est l'indice du matériau isotrope et le tenseur des permitivités diélectriques possède les mêmes directions propres que le tenseur des contraintes et les indices de réfraction n1, n2 et n3 correspondant à ces directions propres sont fonctions linéaires des contraintes principales suivant deux coefficients de Brewster C1 et C2 homologues par symétrie du module d'Young et du coefficient de Poisson :

La différence d'indice entre deux directions principales est caractéristique de la biréfringence accidentelle observable suivant la troisième direction principale.
 

VII.1. Contraintes et déformations des couches minces

Ce paragraphe ne traite que des contraintes et déformations des couches minces ; l'objectif n'est pas directement de discuter de photoélasticité mais de répartition des contraintes et de déformation des plaques.

Considérons une couche mince de silice sur un substrat de silicium ; nous allons répondre aux trois questions suivantes avec un programme d'analyse des contraintes (sigmd.f inclu dans ellipf77.zip):

  1. Comment sont réparties les contraintes et quelle est la flèche de la plaque ?
  2. Comment varient les contraintes lors d'une attaque chimique ?
  3. Comment varient les contraintes lorsqu'on cherche à compenser la courbure de la plaque par un moment fléchissant ?
Toutes ces questions vont, en fait, dans le sens d'une vérification théorique des hypothèses mécaniques de la publication de E. Taft et L. Cordes :
"Optical Evidence for a Silicon-Silicon Oxide Interlayer", J. Electrochem. Soc. : Solid-State Science and Technology, Vol. 126, n°1, pp.131-134 (1979), E. Taft and L. Cordes.

Pour comprendre la physique des contraintes et déformations des couches minces, on peut se procurer les publications de R. W. Hoffman en commençant par :
"Stress Distributions and Thin Film Mechanical Properties", Surface and Interface Analysis, Vol. 3, n°1, pp. 62-66 (1981), R.W. Hoffman.

Les réponses aux trois questions de répartitions et variations des contraintes vont indirectement servir l'ellipsométrie en précisant les courbures de plaque acceptables pour le bon contrôle des angles d'incidence et en chiffrant l'influence de la photoélasticité des matériaux des couches minces pour les mesures ellipsométriques.

Considérons une plaque mince circulaire ("wafer") de silicium monocristallin oxydé.
Au centre de la tranche, la distribution des contraintes et des déformations présente une symétrie sphérique qu'on peut utiliser pour poser des jeux d'équations simplifiées permettant de discuter plus facilement la physique du problème mécanique.

Le milieu 1 est le substrat de silicium d'épaisseur e1, de module d'Young E1 et de coefficient de poisson , son rayon de courbure moyen est C1.
Le milieu 2 est la couche mince de silice d'épaisseur e2, de module d'Young E2 et de coefficient de poisson , son rayon de courbure moyen est C2.
Un programme FORTRAN complet sous licence GNU GPL permet de jouer avec les équations qui vont être démontrées.
Les notations employées sont proches de celles de l'ouvrage "Théorie de l'Elasticité"  L. Landau et E. Lifchitz Editions MIR 1967.

Dans le repère cartésien xzy le tenseur des déformations sur l'axe z de symétrie d'une plaque circulaire a pour directions principales les axes du repère et seule la déformation verticale (axe z)  diffère des déformations transversales :

Il suffit maintenant d'écrire l'équilibre des forces et des moments pour trouver les positions des surfaces neutres R1 et R2 (surfaces de déformation nulle qui, compte-tenu de la symétrie sphérique du problème sont sur des sphères de rayon R1 et R2) en fonction des rayons de courbure C1 et C2 et des différents modules d'Young et coefficients de Poisson.
L'équilibre des forces est l'annulation de l'intégrale des contraintes dans le substrat de silicium par l'intégrale des contraintes dans la couche mince de silice :

La résolution de ces intégrales est assez facile :

L'équilibre des moments par rapport à la surface neutre passant en R1 s'écrit :

Ce qui conduit aux intégrales définies suivantes en notant M le moment de compensation (ou d'augmentation) de courbure :

Pour clarifier les  expressions il est commode d'introduire les constantes P1 et P2 :


Les surfaces neutres respectives de rayon R1 du substrat de silicium et R2 de la couche de silice ont alors pour expressions analytiques explicites :
R1 = (P1e1((C1-C2)C1+e22C1/(12C2)-e12/12))/(P1e1(C2-C1)+P22/(12C2)(1+P1e1/(P2e2)+M)
R2 = C2/(1-P1e1/(P2e2)(C1/R1-1))

Des cas limites connus permettent de vérifier la cohérence de ces deux formules :

M = -P1e13/R1 Considérons maintenant l'expérience d'amincissement chimique uniforme des couches minces de silice dans des solutions tamponnées d'acide fluorhydrique.
Il est légitime de supposer que l'amincissement chimique retire au système l'énergie élastique de la couche qu'il enlève.
Soit W l'énergie restante du système ; trois équations régissent le nouvel équilibre :
Il est commode d' introduire les quantités Q1 et Q2 pour simplifier l'écriture des équations :


La première équation régit l'équilibre des forces comme précédemment :
Q1(C1-R1)/R1 + Q2(C2-R2)/R2 = 0
La deuxème équation régit aussi l'équilibre des moments comme précédemment :
Q1((C1-R1)2 + e12/12)/R1 + Q2((C2-R2)(C2-R1) + e22/12)/R2 + M = 0
La troisième équation exprime la conservation de l'énergie élastique W comme somme des intégrales définies des produits contraintes-déformations :
Q1((C1-R1)2/2 + e12/12)/R12/2 + Q2((C2-R2)2/2 + e22/12)/R22/2 = W
Pour calculer le nouvel équilibre après l'attaque chimique il suffit de résoudre le système de 3 équations à 3 inconnues pour la nouvelle épaisseur de couche mince ; les 3 inconnues sont le rayon de courbure C1 (en effet C2 est géométriquement lié à C1C2 = C1 + e1/2 + e2/2), et les rayons des surfaces neutres R1 et R2 .

Le programme FORTRAN joint utilise les constantes mécaniques du silicium monocristallin et de la silice thermique publiées et discutées dans :
"Intrinsic SiO2 film stress measurements on thermally oxidized Si", J. Vac. Sci. Technol. B5(1), pp 15-19, jan/feb 1987, E. Kobeda and E. A. Irene.
Les données sont exprimées en unités MKSA (Mètre Kilogramme Seconde Ampère : ce sont les unités SI, c'est à dire les unités de mesure officielles du Système International), pour faire le lien avec les données CGS (Centimètre Gramme Seconde) des publications il suffit de se souvenir le la relation entre unités de pression : 1Pa = 1N.m-2= 10 dyn.cm-2.

Pour revenir à la publication d'ellipsométrie dont nous voulons vérifier les hypothèses mécaniques, E. Taft et L. Cordes, s'appuyant sur une publication de R. J. Jacodine et W.A. Schlegel (J. Appl. Phys. , 37,2429 (1966)) font l'hypothèse d'une compression de la couche de silice de -200 MPa en partant d'un oxyde thermique de 0.7 micron.

Les ordres de grandeurs aussi sont importants, surtout pour ceux qui ne sont pas familiers des équations de la mécanique, pour situer un peu les quantités discutées plus bas, la pression atmosphérique normale c'est un tout petit peu plus d'un dixième de MégaPascal (0.1 MPa) ou un décaNewton par centimètre carré (1 daN.cm-2) ou un kilogramme-force par centimètre carré (g=9.81 m.s-2) ou en unité CGS (Centimètre Gramme Seconde) un Mégadyn par centimètre carré (1 Mdyn.cm-2 = 106 dyn.cm-2).  Une compression de -200 Mpa pour la silice c'est donc une quantité très élevée qui est maintenue par l'adhésion de liaison covalente chimique entre les atomes de silicium du substrat monocristallin et les atomes d'oxygène de la couche de silice ; c'est l'énergie de la liaison covalente silicium-oxygène qui donne l'ordre de grandeur de la limite de rupture mécanique.

Le progamme saisit de préférence les données directement mesurables ; ainsi il demande la flèche de la plaque en microns c'est à dire la différence d'altitude entre le centre et le bord de la plaque, avec le diamètre (en m) et les épaisseurs de substrat et de couche mince on peut calculer les rayons de courbure moyens C1 et C2.
Voici une trace du programme FORTRAN sigmd.f   (inclu dans le fichier ellipf77.zip) qui correspond aux données de l'application :
Au départ la silice fait 700 nm d'épaisseur ce qui correspond à une flèche de 17 microns pour un "wafer"  de silicium standard de 4 pouces :

 Fleche :    10.000 um ? 17
 Diametre :    0.1000 m ? /
 Epaisseur de silicium :   525.000 um ? /
 Epaisseur de silice :     1.000 um ? 0.7
 E/(1.-NU) Si (111) 2.28 (100) 1.805:   2.28000 E5MPa ? /
 E/(1.-NU) SiO2 0.863 MPa :   0.86300 E5MPa ? /
 Fleche :    17.000 um ; diametre :    0.1000 m
 Epaisseur de silicium :   525.000 um, de silice :     0.700 um
 Rayon de courbure :    73.529m ; moment de flexion :  0.3146314E-01MN
 Lignes neutre du silicium : -0.3505835E-03m, de la silice :  0.1735561E+00m
 Contrainte dans le silicium : interface  0.1084924E+01 surface : -0.5430038E+00MPa
 Contrainte dans la silice : interface -0.2032204E+03 surface : -0.2032196E+03MPa
 Deformation silicium : interface  0.4758437E-05 surface : -0.2381596E-05
 Deformation silice : interface -0.2354813E-02 surface : -0.2354804E-02
 Energie elastique : silicium  0.6775838E-03, silice  0.3349809E+00 J.m-2

Après une attaque chimique qui réduit l'épaisseur de silice à 100 nm d'épaisseur de silice, la contrainte compressive de la silice est restée sensiblement la même :

 Continue ou recommence (0/1) :  0 ? /
 Epaisseur de silicium :   525.000 um ? /
 Epaisseur de silice :     0.050 um ? 0.1
 Moment flechissant :  0.0000000E+00 N ? /
 C1,C2,R1,R2 :  0.7352916E+02  0.7352942E+02  0.7352907E+02  0.7370298E+02
 C3,C4,R3,R4 :  0.5117342E+03  0.5117344E+03  0.5117341E+03  0.5129507E+03
 W,WX :  0.4853200E-07  0.4853609E-07

 Fleche :     2.443 um ; diametre :    0.1000 m
 Epaisseur de silicium :   525.000 um, de silice :     0.100 um
    25 regressions
 Rayon de courbure :   511.734m ; moment de flexion :  0.3142723E-01MN
 Lignes neutre du silicium : -0.3500833E-03m, de la silice :  0.1216298E+01m
 Contrainte dans le silicium : interface  0.1559329E+00 surface : -0.7797761E-01MPa
 Contrainte dans la silice : interface -0.2046328E+03 surface : -0.2046327E+03MPa
 Deformation silicium : interface  0.6839164E-06 surface : -0.3420070E-06
 Deformation silice : interface -0.2371179E-02 surface : -0.2371179E-02
 Energie elastique : silicium  0.1399717E-04, silice  0.4852209E-01 J.m-2

Pour 30 nm de silice la contrainte compressive théorique reste sensiblement la même :

 Continue ou recommence (0/1) :  0 ? /
 Epaisseur de silicium :   525.000 um ? /
 Epaisseur de silice :     0.020 um ? 0.03
 Moment flechissant :  0.0000000E+00 N ? /
 C1,C2,R1,R2 :  0.5116657E+03  0.5116660E+03  0.5116657E+03  0.5128823E+03
 C3,C4,R3,R4 :  0.1705096E+04  0.1705097E+04  0.1705096E+04  0.1709151E+04
 W,WX :  0.1457452E-07  0.1457346E-07

 Fleche :     0.733 um ; diametre :    0.1000 m
 Epaisseur de silicium :   525.000 um, de silice :     0.030 um
    15 regressions
 Rayon de courbure :  1705.097m ; moment de flexion :  0.3142304E-01MN
 Lignes neutre du silicium : -0.3500250E-03m, de la silice :  0.4054871E+01m
 Contrainte dans le silicium : interface  0.4680021E-01 surface : -0.2340111E-01MPa
 Contrainte dans la silice : interface -0.2047421E+03 surface : -0.2047421E+03MPa
 Deformation silicium : interface  0.2052641E-06 surface : -0.1026364E-06
 Deformation silice : interface -0.2372447E-02 surface : -0.2372447E-02
 Energie elastique : silicium  0.1260840E-05, silice  0.1457219E-01 J.m-2

De même en laissant seulement 10nm de silice :

 Epaisseur de silicium :   525.000 um ? /
 Epaisseur de silice :     0.030 um ? 0.01
 Moment flechissant :  0.0000000E+00 N ? /
 C1,C2,R1,R2 :  0.1705320E+04  0.1705321E+04  0.1705320E+04  0.1709376E+04
 C3,C4,R3,R4 :  0.5115776E+04  0.5115776E+04  0.5115776E+04  0.5127941E+04
 W,WX :  0.4857382E-08  0.4856983E-08

 Fleche :     0.244 um ; diametre :    0.1000 m
 Epaisseur de silicium :   525.000 um, de silice :     0.010 um
    18 regressions
 Rayon de courbure :  5115.776m ; moment de flexion :  0.3142185E-01MN
 Lignes neutre du silicium : -0.3500083E-03m, de la silice :  0.1216507E+02m
 Contrainte dans le silicium : interface  0.1559873E-01 surface : -0.7799477E-02MPa
 Contrainte dans la silice : interface -0.2047304E+03 surface : -0.2047304E+03MPa
 Deformation silicium : interface  0.6841549E-07 surface : -0.3420823E-07
 Deformation silice : interface -0.2372311E-02 surface : -0.2372311E-02
 Energie elastique : silicium  0.1400693E-06, silice  0.4856843E-02 J.m-2

La question suivante qui n'est pas abordée dans la publication est de chiffrer de combien varient les contraintes quand on annule la flèche par un moment fléchissant (ce que l'on fait couramment sur les ellipsomètres de salle blanche avec un système d'aspiration pour maintenir les plaques et améliorer leur planéité pour la mesure) :

Epaisseur de silicium :   525.000 um ? /
 Epaisseur de silice :     0.700 um ? /
 Moment flechissant :  0.3000000E-01 N ? 0.04
 C1,C2,R1,R2 :  0.7352916E+02  0.7352942E+02  0.7352907E+02  0.7370298E+02
 C3,C4,R3,R4 : -0.4102432E+12 -0.4102432E+12 -0.4102427E+12 -0.4112122E+12
 W,WX :  0.3356585E-06  0.3356598E-06

 Fleche :     0.000 um ; diametre :    0.1000 m
 Epaisseur de silicium :   525.000 um, de silice :     0.700 um
   431 regressions
 Rayon de courbure : *********m ; moment de flexion :  0.2922367E-01MN
 Lignes neutre du silicium :  0.4879117E+06m, de la silice : -0.9690624E+09m
 Contrainte dans le silicium : interface  0.2711660E+00 surface :  0.2711660E+00MPa
 Contrainte dans la silice : interface -0.2033745E+03 surface : -0.2033745E+03MPa
 Deformation silicium : interface  0.1189325E-05 surface :  0.1189325E-05
 Deformation silice : interface -0.2356599E-02 surface : -0.2356599E-02
 Energie elastique : silicium  0.1693148E-03, silice  0.3354905E+00 J.m-2

La flèche s'annule bien en augmentant de -0.15 Mpa la compression de la silice ce qui est négligeable par rapport aux -200 Mpa de compression intrinsèque et, pour situer les quantités, de l'ordre de grandeur de la pression atmosphérique normale (~0.1 MPa).

En conclusion, l'hypothèse d'une compression uniforme de la silice constante avec l'épaisseur et les corrections mécaniques de flèche est fondée ; les auteurs ont eu raison de fonder leurs hypothèses photoélastiques sur leurs données mécaniques.
 

VII.2. Dispersion chromatique de la photoélasticité

Ce paragraphe cherche d'une certaine façon à relier le dichroïsme aux problèmes de dispersion chromatique de la photoélasticité dans les zones de transparence.
Pratiquement, ce paragraphe propose un programme FORTRAN (indce.f inclu dans ellipf77.zip) pour calculer la biréfringence accidentelle (photoélasticité au sens premier) de la silice. Ce programme contient par ailleurs des fonctions de compacité et de mélanges effectifs de quelques matériaux de la microélectronique du silicium.

Fondamentalement la théorie de la dispersion chromatique des indices de réfraction  des matériaux transparents s'appuie sur un modèle harmonique de composition d'oscillateurs des vibrations électroniques ; l'expression analytique de la dispersion chromatique des indices est classiquement exprimée en séries de Sellmeier :
n2 = 1 + D1*l12/(l2-l12) + D2*l22/(l2-l22) + D3*l32/(l2-l32)
où  l est la longueur d'onde courante et  li la longueur d'onde de résonnance de l'oscilateur i.  Chaque oscillateur est caractérisé par sa force Di qui intervient au numérateur et sa fréquence de résonnance transcrite ici en longueur d'onde li ; ces oscillateurs caractérisent tout simplement les bandes d'absorption du matériau : l'entrée en résonnance d'un oscillateur correspond à l'absorption de l'énergie lumineuse aux longueurs d'ondes des fréquences de résonnance.

Quand un matériau transparent est soumis à des contraintes ses oscillateurs changent normalement de force et de fréquence de résonnance, c'est ce que nous avons cherché à exprimer sur la série de Sellmeier publiée par I.H. Malitson (Journal of the Optical Society of America, 55, p. 1205 (1965)) en régressant sur les valeurs des coefficients de Brewster publiés par W. Primak et D. Post (Journal of Applied Physics 30, 5 p. 779 (1959)).
Les quantités utilisées dans le programme FORTRAN indce.exe sont :

  1. Pour chacun des 3 oscillateurs de la silice, les paramètres : D1 = 0.6961663 , l1 = 0.0684043 µm , D2 = 0.4079426 ,  l2 = 0.1162414 µm , D3 = 0.8974794 , l3 = 9.896161 µm
  2. Le module Young et le coefficient de Poisson de la silice : E = 76000. MPa , nu = 0.164
  3. Les coefficients de Brewster (en MPa-1) de la silice pour 2 longueurs d'onde :
    1. 0.4358 µm : C1 = -0.00000062 , C2 = -.000000428
    2. 0.6438 µm : C1 = -0.00000068 , C2 = -0.00000419
Le programme indce.f77 (inclu dans le fichier ellipf77.zip) procède comme suit :
  1.  Saisie de la contrainte de la couche mince de silice, il s'agit d'une contrainte isotrope dans le plan de la couche mince et nulle suivant la direction perpendiculaire à la surface,
  2. Calcul des  2 indices de biréfringence accidentelle dans le plan et perpendiculairement aux deux longueurs où les coefficients de Brewster sont connus (0.4358 µm et 0.6438 µm).
  3. Ajustement par algorithme bidimensionnel de Newton des séries de Sellmeier pour les 2 fonctions diélectriques parallèles et perpendiculaires au plan : comme deux équations ne permettent de déterminer que 2 inconnues, il a été choisi de ne faire varier en proportion égale toutes les forces d'oscillateur (D1, D2 et D3 ) et seulement les longueurs d'ondes l1 et  l2 des 2 premiers oscillateurs dans l'Ultra Violet ( 0.0684043 µm et  0.1162414 µm , toujours en proportion égale) ; en effet la bande d'absorption à 9.896161 µm pose des problèmes de régression et, de fait, elle se trouve loin des longueurs d'onde du visible (0.4 µm à 0.8 µm) qui nous intéressent le plus souvent.
Le programme indce.exe donne les traces suivantes pour une silice sans contrainte et une silice avec une valeur compressive de -200Mpa correspondant à la publication de E. Taft et L. Cordes discutée dans le paragraphe précédent (VII.1. Contraintes et déformations des couches minces) :

 1: vide   2: Si      3: SiO2    4: Si-a     5: SiOx
 6: Al     7: Si3N4   8: Si polycristallin   9: Si poreux
 2 ? 3
Compacite (=<1) :  0.0000 ? /
 Contrainte SiO2 (MPa)(1MPa=10bar=1.E7dyn/cm2)
 [-150.,-450.]:   0.00MPa ? /
 CO =
 1  0.6961663  0.6961663  0.6961663
 2  0.0684043  0.0684043  0.0684043
 3  0.4079426  0.4079426  0.4079426
 4  0.1162414  0.1162414  0.1162414
 5  0.8974794  0.8974794  0.8974794
 6  9.8961611  9.8961611  9.8961611

 LONGUEUR D'ONDE (nm ou eV, -1:arret)
  632.800 ? 546.1
 Lambda(nm)=  546.10      n =    1.46008  k =    0.00000
     E(ev)=  2.2704                  1.46008     0.00000
                   Epsilon r =    2.13182   Epsilon i =   0.00000
                                  2.13182     0.00000
 1: vide   2: Si      3: SiO2    4: Si-a     5: SiOx
 6: Al     7: Si3N4   8: Si polycristallin   9: Si poreux
 3 ? /
Compacite (=<1) :  0.0000 ? /
 Contrainte SiO2 (MPa)(1MPa=10bar=1.E7dyn/cm2)
 [-150.,-450.]:   0.00MPa ? -200
 CO =
 1  0.6961663  0.6991923  0.6979450
 2  0.0684043  0.0684133  0.0683749
 3  0.4079426  0.4097158  0.4089849
 4  0.1162414  0.1162673  0.1161565
 5  0.8974794  0.9013805  0.8997725
 6  9.8961611  9.8961611  9.8961611

 LONGUEUR D'ONDE (nm ou eV, -1:arret)
  546.100 ? /
 Lambda(nm)=  546.10      n =    1.46176  k =    0.00000
     E(ev)=  2.2704                  1.46105     0.00000
                   Epsilon r =    2.13676   Epsilon i =   0.00000
                                  2.13468     0.00000

Pour une compression de -200MPa de la silice, le programme donne une biréfringence accidentelle de 0.00071 contre 0.0007 valeur trouvée par E. Taft et L. Cordes.

En conclusion, cette discussion sur la dispersion chromatique de la photoélasticité va dans le sens d'une gestion programmative des quantités optiques nécessaires à la précision picomètrique que vise l'ellipsométrie.

Page maintenue par aime.vareille@wanadoo.fr



Page suivante    Page précédente    Table des matières