Une ellipse de lumière d'aplatissement lambda et d'orientation
alpha du grand axe s'écrit :

Où la matrice carrée exprime la rotation d'un angle alpha de
l'ellipse d'aplatissement lambda d'axes alignés au repère.
L'autre façon de décrire la même ellipse de lumière est de la
considérer constituée de composantes de phase béta et gamma et de
rapport angulaire d'amplitude psi :

Dans cette équation paramétrique seule 2 variables angulaires sont
caractéristiques de la forme de l'ellipse :

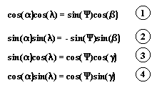
En effectuant de part et d'autre les combinaisons de relations :
1x1 + 2x2 - 3x3 - 4x4 on obtient :
![]()
En effectuant de part et d'autre les combinaisons de relations :
1x3 - 2x4 on obtient :
![]()
En effectuant de part et d'autre les combinaisons de relations :
1x4 + 2x3 on obtient :
![]()
Dans la représentation de Poincaré, la forme de l'ellipse est
représentée par un point de coordonnée sphérique (2*alpha,
2*lambda) ; dans ce même espace de Poincaré les angles 2*psi et
delta sont aussi des coordonnées sphériques du même point
caractéristique de la même forme d'ellipse :

Pour revenir sur la signification particulière des quantités
angulaires Psi et Delta en ellipsométrie des couches minces :
considérons une surface plane isotrope ; les propriétés
réflectives de cette surface sont caractérisées par une matrice
diagonale des quantités rp et rs respectivement réflectances
complexes pour les axes p et s (p parallèle et s perpendiculaire
au plan d'incidence).
Ainsi, une lumière incidente polarisée linéairement à 45° du plan
d'incidence (psi=45° et delta=0°) est transformée en une lumière
de rapport angulaire d'amplitude égal à Psi (psi = Psi) et de
déphasage égal à Delta (delta = Delta) où Psi et Delta sont les
quantités angulaires caractéristiques de la surface réfléchissante
(rp/rs = tan (Psi)eiDelta), tandis que psi et delta
(premières lettres p et d minuscules) sont caractéristiques de la
forme de l'ellipse de lumière respectivement avant (psi=45°,
delta=0°) et après réflexion (psi=Psi, delta=Delta).

Compte tenu du nécessaire calcul de l'intensité lumineuse et de
la commodité des représentations géométriques de Poincaré il est
particulièrement intéressant de faire ces calculs ellipsométriques
à l'aide des paramètres de Stokes et des matrices de Mueller :
c'est en gros ce que démontre la question posée.
Le fait que ce soient les harmoniques doubles H2 de l'angle A de
l'analyseur qui apparaissent dans l'expression de l'intensité
vient de ce que les matrices de Jones introduisent de l'harmonique
H1 de l'angle A et le passage final au calcul de l'intensité donne
forcément et uniquement des harmoniques multiples de 2 dans le cas
des optiques tournantes.
En pratique, il y a toujours un peu d'harmonique simple H1
résiduel du fait des inhomogénéités et salissures de l'optique
tournante ou du mauvais centrage du faisceau lumineux qui touche
les bords ou renvoie des reflexions parasites dans le
photodétecteur.
Pour ce qui est de l'établissement des formules, nous laissons le
soin au lecteur d'utiliser les paramètres de Stokes et les
matrices Mueller comme nous le décrivons en http://aime.vareille.pagesperso-orange.fr/pages/ellipsometrie/null.html
et en http://aime.vareille.pagesperso-orange.fr/pages/ellipsometrie/In-situ.htm
; il y a en fait 2 équations instrumentales :
1) L'intensité sans compensatrice s'écrit :

2) L'intensité avec compensatrice s'écrit :
Où T = 0° et les matrices E (Echantillon) , R (Rotation :
orientation T de la compensatrice) et B (Biréfrengence de la
compensatrice) sont décrites en http://aime.vareille.pagesperso-orange.fr/pages/ellipsometrie/null.html.
Keeping the same notations, the respective orientations of the
polarizer, modulator and analyzer, referred to the plane of
incidence, are respectively denoted P, M and A.
In order to avoid confusing formulae, it is preferable to choose b
(instead of big bold A) as modulation amplitude of
the birefringence of the photoelastic modulator ; the sinusoidal
variation of the birefringence
is proportional to the stress through the
Brewster photoelastic coefficient C of the fused silica of the
Modulator :
![]()
Where
is the wavelength of the used light, e is the
thickness of the Modulator crossed by the light and
is the stress amplitude
produced by the piezo transducer of the Modulator where the light
is passing.
Using de Stokes and Mueller matrices, we obtain the following intensity expression for the Uvisel ellipsometer :

Where the Photo Elastic Modulator (PEM) Q and the sample E
are characterized by the Matrices :


Making all the matrices multiplications, the relations given for
the Uvisel ellipsometer should be retrieved :
![]()
Where :
![]()
![]()
![]()
And then the Bessel development can be applied :
![]()
![]()
![]()

Cette image obtenue en microscopie haute résolution en
transmission par une équipe mixte du CENG et du CNET (http://perso.wanadoo.fr/anterroches/micro/Prin_TEM_html.htm)
montre l'interface de la silice avec le silicium (100).
Le silicium monocristallin (cubique diamant de distance
interatomique de 0.314 nm) découpé suivant un angle de
l'ordre du degré avec le plan cristallographique (100) (cf. les
standards de l'industrie microélectronique : ASTM F1241) offre une
rugosité naturelle de passage des sites A et B augmentée des
décrochements des plans cristallins fonction de l'angle de coupe.
L'image montre un speckle homogène pour la silice thermique
caractéristique de son état vitreux parfaitement désordonné sur du
silicium monocristallin (100) parfaitement ordonné ; on peut
ajouter que la silice thermique est en forte compression
(typiquement plus de 150 MPa) et le silicium en extension
(typiquement de l'ordre du Mpa) à cause de l'augmentation de
volume due à l'adjonction d'oxygène au silicium pour former la
silice et surtout à cause des différences de coefficient de
dilatation lors du refroidissement (la silice n'est pâteuse que
bien au dessus de 500°C et le silicium plastique qu'à partir de
400°C).
De nombreuses publications d'ellipsométrie traitent de la rugosité
des interfaces ; parmi les caractérisations expérimentales
poussées on peut citer :
Cette première partie de réponse ne concerne que les rugosités petites devant la longueur d'onde lumineuse : en résumé, il semble que les relations de Fresnel soient suffisamment robustes pour rendre compte quantitativement de rugosités inférieures au quart de la longueur d'onde lumineuse en faisant l'hypothèse de couches minces interfaciales d'indice intermédiaire aux matériaux en présence.
Maintenant considérons à l'autre extrême les trous dans les couches minces ou les ilôts de couches minces d'étendues de plusieurs fois supérieures à la longueur d'onde lumineuse (e. g. de plusieurs microns à plusieurs mm pour les faisceaux de mesure ellipsométrique étendus) : que donnent les mesures ellipsométriques sur de telles surfaces hétérogènes ?
Le photodétecteur de l'ellipsomètre reçoit l'énergie lumineuse provenant de zones qui ne produisent pas les mêmes interférences. Ces énergies lumineuses n'interfèrent pas entre elles (c'est particulièrement vrai quand on forme l'image de l'échantillon sur le photodétecteur) ; fort de cette hypothèse, l'intensité lumineuse détectée est la somme des intensités lumineuses et les vecteurs de Stokes des formes de lumières réfléchies s'additionnent : il s'agit d'une addition incohérente des formes de lumière ; c'est un cas connu de dépolarisation spatiale utilisée en photoélasticimétrie holographique. Pratiquement, un ellipsomètre à annulation ne parviendra pas à éteindre la lumière émergente, il trouvera un minimum d'intensité lumineuse qui est calculable et qui peut masquer l'effet des zones qui réfléchissent peu de lumière ; pour calculer ces minima il faut connaître les différents multicouches en présence et estimer leurs surfaces relatives, calculer les vecteurs de Stokes pour chaque structure pour les additionner ... c'est tout à fait faisable et vérifiable mais peu de constructeurs d'ellipsomètres proposent les logiciels pour simuler ce cas et traiter les mesures.
Dans les cas intermédiaires, quand la rugosité est comparable en dimension à la longueur d'onde lumineuse la lumière est diffractée; les réseaux de diffraction en sont des cas particuliers qui ont d'ailleurs déjà fait l'objet d'assez nombreuses études ellipsométriques. Pour étudier de telles surfaces, il est intéressant de disposer d'ellipsomètres à photodétection d'angle solide bien calibré pouvant scruter l'ensemble de l'indicatrice de diffusion, la direction spéculaire n'étant plus la seule à renvoyer des informations exploitables.
En conclusion, les relations de Fresnel utilisées en ellipsométrie rendent bien compte de comportements statistiques des interactions lumière-matière de faisceaux lumineux intrinsèquement statistiques de photons avec des surfaces rugueuses dont les topologies sont en grande partie de nature statistique ; autrement dit, avec l'amélioration de la sensibilité des mesures ellipsométriques autour du picomètre il reste beaucoup à faire avec la puissance de calcul temps réel des ordinateurs actuels pour transformer cette sensibilité en précision à la fois sur le plan des modèles statistiques et sur le plan des suivis temps-réel des surfaces (transformations chimiques, physiques, vibrations et acoustiques (phonons ...)).
Merci de nous signaler les bogues ou de nous indiquer les programmes similaires, améliorés, traduits ou adaptés.
6) What
about oil
film measurement on tinplate. chrome oxide (tin free
steel), steel, aluminum, and other metals
?
Many ellipsometer are available for that purpose but very few are
adapted for simple measurements in industrial production
environment for metallic surfaces.
Among them, the Donart Model CA Ellipsometer (https://www.donartelectronics.com/ellipsometer-es1)
has interesting specifications for many specialist in ellipsometry
:
SPECIFICATIONS
REPEATABILITY
. . . . . . . . . . . . . . . . . . . . . . . . .
. . +/- 0.15 gm/bb (+/- .75 mg/m2)
ANGULAR RANGE
.
. . . . . . . . . . . . . . . . . . . . . . . .
20 degrees
MEASUREMENT RANGE
.
. . . . . . . . . . . . . . . . . . . In excess of
1.0 gm/bb (50 mg/m2)
SAMPLE
SIZE . . . . . . . . . . . . . . . .
. . . . . . . . . . . . 1 to 3 inch diameter
READOUT . .
. . . . . . . . . . . . . . . . . . . . . . . . . . . . .
Direct in oil coating
weight
with LED numerals
MEASUREMENT TIME
. . . . . . . . . . . . . . . . . . . . . .
Approximately 45
seconds
POWER REQUIREMENTS
. . . . . . . . . . . . . . . . . . . . 115 Volts,
60 Hz, 600 VA
(50
Hz, 220 Volt options)
VENT
SIZE . . . . . . . . . .
. . . . . . . . . . . . . . . . . . . . . 3
inch diameter
CABINET SIZE
. . . . . . . . . . . . . . . . . . . . . . . . . . . .
. 24" X
50" X 25"
APPROXIMATE WEIGHT . . . . . . . . . . . . . . . . . . . . 300 lbs.
(Found on http://www.donartelectronics.com/ellipsometer.htm the january 28 2003)
These specifications do not give the angle of incidence and the
wavelength operating measurements.
In fact some of these aparatus are at 45° of incidence with
incandescent tungsten source filtered in yellow at around 590 nm.
Fixed polarizer means, in that case, that Psi should not vary very
much in all the practical range of measurements.
Considering practical case with transparent oil having 1.451
of refractive index and metal substrate with complex Index (2.0 -
i 2.0), simulation gives cyclic locus with a period of 232.8 nm of
oil thickness in the Psi-Delta Plane :

The analyzer has a rotation amplitude of 20°, that means that 40°
Delta variation can be detected.
From 0 to 40 nm oil film thicknesses the couples of values (Psi,
Delta) vary from (35.61°, 158.78°) to (37.1986°, 142.211°).
In other words, Psi varies of less of 2° when Delta has a
variation of around 16° for that range of 40 nm thickness
variation starting from 0.
Of course, beyond of these 40 nm of oil thickness Psi is
increasing significantly before Delta start to decrease and
it yields troubles in measurements of oil deposited
quantities in minimizing only Delta for that case (1.451 oil
refractive index and (2.0 -i 2.0) complex metallic refractive
index).
The repeatability around +/- .75 mg/m2 is about +/-1 nm in oil film thickness.
Other investigations should be necessary in order to characterize any substrate rugosity, oxydation, polymer or oil multilayer arrangement. Sensitivity and repeatability could be improved in ajusting angle of incidence and operating wavelength of measurement.
Suite à plusieurs demandes, nous avons préparé une présentation
de
l'ellipsométrie en 12 transparents :
Le fichier Powerpoint avec commentaires et son diaporama en un
seul fichier compressé : http://perso.wanadoo.fr/aime.vareille/pages/ellipsometrie/EllipsometrieSimplifiee.zip
La correction de cette page est assurée par aime.vareille@wanadoo.fr